Udriste C* and Tevy I
Received: December 21, 2018; Published: January 16, 2019
*Corresponding author: Udriste C, Department of Mathematics-Informatics, Faculty of Applied Sciences, Splaiul Independentei 313, Bucharest, 060042, Centenary of Romanian Great Union 1818-2018, Romania
DOI: 10.26717/BJSTR.2019.13.002360
A central problem in biological dynamical systems is to determine the boundaries of evolution. Although this is a general problem, we prefer to give solutions for growth of the phytoplankton. AMS Mathematical Classiftcation: 92D40, 35B36, 35Q92, 37N25.
Keywords: Phytoplankton Dynamical System; Phytoplankton Sub-strate; Phytoplankton Biomass; Intracellular Nutrient Per Biomasss
In the paper of Bernard - Gouze [1] one analyse a model of phytoplankton growth based on the dynamical system

where x1 means the substrate, x2 is the phytoplankton biomass and x3 is the intracellular nutrient per biomass, with the physical domain
The previous dynΣamical system is non cooperative and has the equilibrium point
We introduce the phytoplankton vector field
of components
and the maximal field line x = x(t, x0), t ∈ I, which satisfies the initial condition x(t0, x0) = x0. In order to find bounds for substrate, biomass, and intracellular nutrient per biomass, we use the techniques of optimization developed in our papers [2-6].
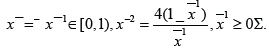
We use the following problem: ftnd max f (x1, x2, x3) = x1 with the restriction x=x(t,x0). We set the critical point condition
. In this case
It follows the relation
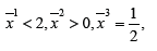
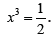
The convenient solution (critical point)
must be

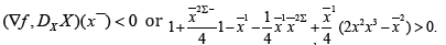
The sufficient condition Hess
reduces to 
Since at the critical point we have
the condition goes to
and the convenient condition is
. Theorem 2.1. Suppose that on a evolution line (field line) it exists a point x¯ at which we have

Then the phytoplankton substrate has an upper bound at this point.
Let us use the problem: ftnd max
subject to x=x(t,x0).
Growth of phytoplankton: The critical point condition is
it follows the relation
The convenient solution (critical point)
The sufficient condition Hess
Since at the critical point we have , the sufficient condition leads to 
Theorem: Suppose that on a evolution line (field line) it exists a point at which we have

then the x2(t) component of the corresponding field line has an upper bound at this point.
In the direct alternative, we build the composite function g(x(t, x0)). The condition

reduces to
the convenient solution is
The condition
becomes
Replacing
we find x2 > 0, x1 − 2 < 0. The same result is obtained as in
the previous method.
Now the helping problem is: compute max
with the restriction 
The critical point condition is
Since Δh =
∇h = (0,0,1), it follows the relation
The critical point
The sufficient
condition Hess
reduces to
Since at the critical point we have
the condition goes to

Theorem: Suppose that on a evolution line (field line) it exists
a point x at which we have
Then the intracellular
nutrient per biomass has an upper bound at this point.
